詳細介紹
◆產品介紹:為了避免電子電路中在開機的瞬間產生的浪涌電流,在電源電路中串接 一個功率型NTC熱敏電阻器,能有效地抑制開機時的浪涌電流,并且在 完成抑制浪涌電流作用以后,由于通過其電流的持續作用,功率型NTC 熱敏電阻器的電阻值將下降到非常小的 程度,它消耗的功率可以忽略不計,不會對正常的工作電流造成影響,所以,在電源回路中使用功率型NTC熱敏電阻器,是抑制開機時的浪涌,以保證電子設備免遭破壞的最為簡便而有效的措施。
◆特性:
反應速度快
體積小,功率大
抑制浪涌電流能力強
材料常數(B值)大,殘余電阻小
壽命長,可靠性高
工作溫度范圍寬
◆應用:
適用于轉換電源、開關電源、UPS電源、各類電加熱器、電子節能燈、電子鎮流器、各種電子裝置電源電路的保護以及彩色顯示像管、白熾燈及其它照明燈具的燈絲保護。
◆產品編碼方法/訂貨方式:

①額定零功率電阻值
②芯片最大直徑
◆外形尺寸:

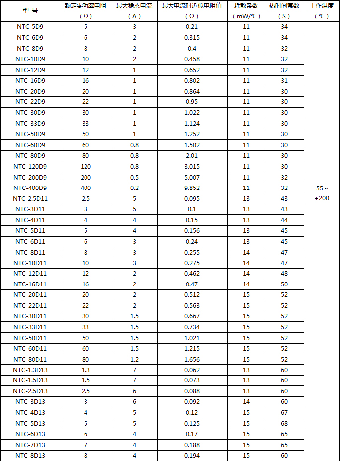
◆技術參數:

☆可根據客戶要求設計定做特殊規格產品。